日冕物质抛射(CME)及其驱动行星际激波是引发重大空间天气事件的主要源头。这些高速等离子体团从太阳爆发而出,当其相对运动速度超过背景介质中的特征速度时,便会在日冕/行星际空间产生激波。激波在传播过程中能加速当地粒子,产生射电暴和高能粒子事件,后者会严重危害在轨运行的航天器安全以及宇航员生命健康。激波到达地球轨道后还会压缩向阳面磁层顶,对磁层内波活动以及行星大气离子逃逸都有重要影响。随激波到达的行星际日冕物质抛射(ICME)内部如果存在南向磁场,则会触发地磁暴,进而严重影响卫星导航与通信系统以及电网、输油管道等地基技术系统,此时激波的到达对应于地磁暴急始,可视作这一系列危害发生的“前兆”。因此,精确预测行星际激波能否以及何时到达地球,已成为空间天气预报中一个至关重要却又极具挑战性的课题。激波在从太阳到地球长达1.5亿公里的旅途中,其传播过程受到自身动力学演化、背景流场变化、与其它结构相互作用等多种复杂物理因素的影响,同时受限于当前观测手段往往集中在日地两端的困境,现有模型的预报准确率和误差长期处于“瓶颈期”,离实际应用需求保障存在较大差距。
近期,中国科学院国家空间科学中心太阳活动与空间天气全国重点实验室日冕与行星际研究团队,在激波传播理论与预报模型研发方面取得重要突破。他们从理论上提出了一种新颖的爆炸波解析解,并基于此新解发展出一个具备实际预报能力的新型爆炸波模型(Blast Wave Model, BWM)。基于模型对2013年至2023年共337个CME—激波事件的预报结果表明,该模型在预报激波能否到达的成功率高达64%,到达时间预报的平均绝对误差仅为9.2小时,综合性能达到国际先进水平。

图1:太阳爆发活动产生爆炸波示意图
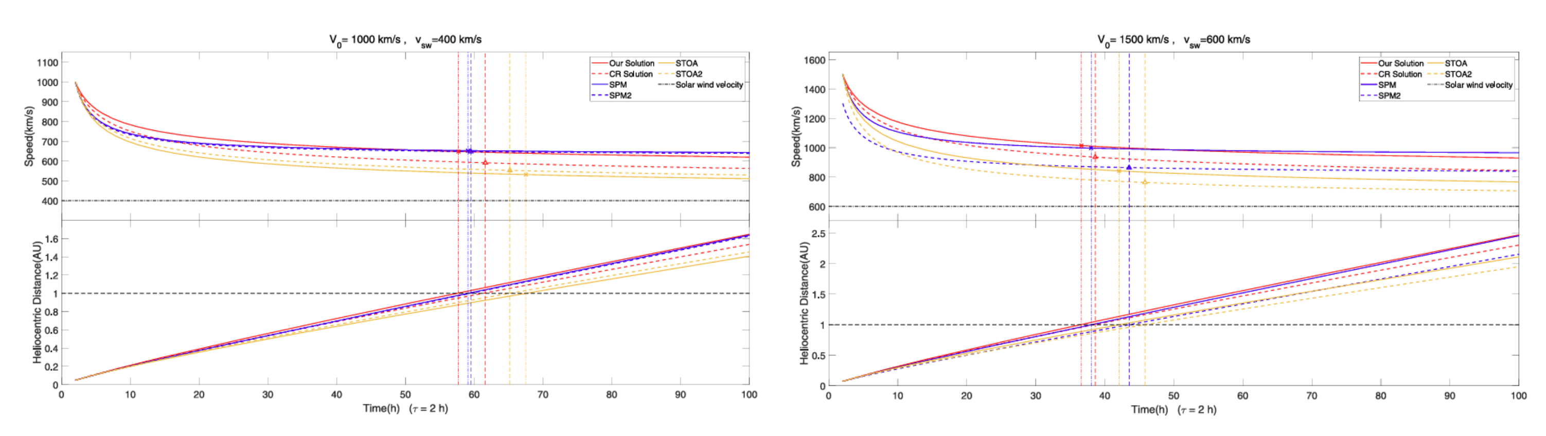
该项系统性研究由两个紧密衔接的部分构成。在第一部分理论创新工作中,赵新华研究员、硕士研究生柴佳琦及合作团队成员从描述爆炸波传播的基本方程组出发,重建了爆炸波动力学传播的求解过程,提出了一个能够描述激波在恒速、变密度背景太阳风中传播的新型爆炸波解。通过引入了“不完全衰减”概念,发现激波相对于背景太阳风的减速,从效果上看相当于仅有约87%的速度分量会按时间的-1/3指数关系进行衰减,其余13%的分量保持匀速传播。新解析解在定量对比实验中,展现出了相当高的稳定性以及对于输入变量的鲁棒性,体现出作为可应用预报模型发展的潜力。

图2:新爆炸波解析解(红色实线)与多种模型(其他线型)预报效果定量对比图(例:初始激波速度分别为1000、1500 km/s,背景太阳风速度分别为400、600 km/s)
相关论文成果“A Novel Blast Wave Solution for the Propagation of Coronal And Interplanetary Shocks”发表在SCI期刊The Astrophysical Journal上,第一作者为柴佳琦研究生,通讯作者为赵新华研究员。
在第二部分建模工作中,赵新华研究员、柴佳琦等将上述新型理论解发展为具备实用功能的BWM预报模型,并进行了三项关键的“实战化”优化。首先,他们建立了一个经验公式,解决了模型初始驱动难题——将SOHO/LASCO卫星观测到的CME投影速度更准确地转化为伴随激波的初始速度。其次,模型考虑了激波在空间传播过程中的方向效应,引入传播方向校正函数,精确计算了激波在日地连线方向上的传播速度。最后,模型采纳了等效激波强度指数(ESSI)作为判断激波能否到达地球的物理判据。研究团队通过对大量事件的“训练”,精确地确定了ESSI的判断阈值。只有当激波到达地球时的ESSI指数大于此阈值,模型才预报激波能够“到达”,显著降低了虚报和漏报情况。

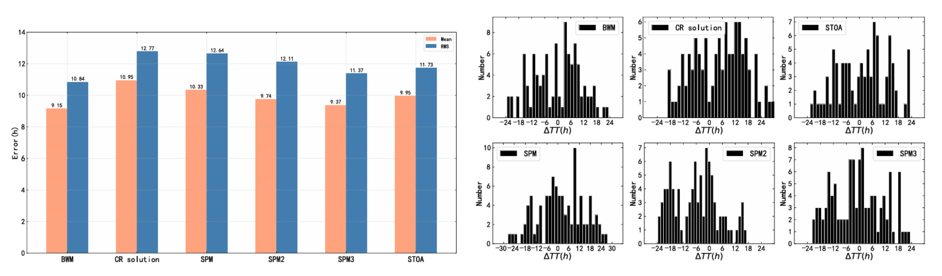
图3:BWM模型与各模型到达时间预报结果对比图:平均绝对误差及方均跟误差(左)、到达时间预报误差分布(右)
研究团队利用过去十年间337个CME—激波事件对BWM模型进行了全面、严格的评估。结果显示,BWM模型在预报激波“到达”与“未到达”的整体成功率达到64%。在预报效果上,该模型全面超过了SPM、SPM2模型和传统爆炸波解析解,相较于性能更为优异的SPM3以及STOA模型,BWM模型仍能小幅度领先。在相对误差小于15%的高精度预报区间,BWM模型以60%的事件占比领先于所有对比模型。这标志着我国在具有自主知识产权的空间天气物理预报模型研发方面迈出了坚实的一步。
论文成果“The Performance of A Blast Wave Model in Predicting Arrival Times of The Interplanetary Shocks From January 2013 to July 2023”发表在太阳物理领域知名期刊Solar Physics上,赵新华研究员为第一作者,柴佳琦为通讯作者。
两项研究得到了国家自然科学基金、科技部国家重点研发计划等多个项目的联合资助。这项从理论创新到模型应用的完整研究,不仅深化了对行星际激波传播物理过程的理解,所开发的BWM模型也为发展具备完整自主知识产权的空间天气业务预报体系提供了关键的理论基础支撑;未来可与自主数据相结合,为空间天气预报做出应有的贡献。
论文链接:
Chai, Jiaqi; Zhao, Xinhua*; Feng, Xueshang et al. A Novel Blast Wave Solution for the Propagation of Coronal And Interplanetary Shocks. The Astrophysical Journal, 2025, 984(1): 7-15. https://iopscience.iop.org/article/10.3847/1538-4357/adc259
Zhao, Xinhua; Chai, Jiaqi*; Feng, Shiwei et al. The Performance of a Blast Wave Model in Predicting Arrival Times of the Interplanetary Shocks from January 2013 to July 2023. Solar Physics, 2025, 300: 154. https://doi.org/10.1007/s11207-025-02564-3